新闻中心
防雷知识 | 将雷击致死机制纳入全球植被动态模型
发表时间:2025-07-26 11:30:56
Image


 

研究概述

本研究首次在动态全球植被模型LPJ-GUESS中引入了雷击致死模块,以模拟闪电对森林结构、植被碳储量及树木死亡率的影响。研究基于巴拿马Barro Colorado Island热带森林中97次雷击实地观测数据,结合无人机监测与地面调查,统计不同距离和树径等级下的致死概率,并据此建立以雷击频率、林分结构与植物功能型(PFT)为驱动的随机化雷击模块。该模块不仅模拟雷击直接击中的树木死亡,还考虑“闪络”作用导致的邻近树木死亡,并引入云对地雷击密度的空间数据(LIS/OTD–EMAC与ENTLN),在全球尺度上评估雷击对森林碳动态的影响。研究结果表明:在热带森林,模型准确再现了雷击击中大径级树木的比例(模拟为85%,观测为86%),平均每次雷击杀死2.9棵树(观测为3.2棵),雷击对大径级树木死亡贡献占比为21%(观测为24%);全球尺度上,雷击每年导致3.01–3.40亿棵树死亡,释放0.21–0.30 GtC的死亡生物量,约占自然致死总量的2.1%–2.9%;若无雷击,全球生物量将提高1.3%–1.7%,其中非洲热带森林的雷击致死作用最为显著。作者指出,尽管模型对热带森林的雷击致死模拟表现良好,但在温带和针叶林区仍存在显著低估,主要源于观测数据缺乏、雷击脆弱性参数不明及PFT分类的局限性。总体而言,该研究填补了现有DGVM中忽略雷击扰动的空白,为未来在气候变暖背景下提高森林碳汇预测的准确性提供了理论基础和建模框架,并呼吁将雷击作为独立扰动机制纳入更多生态系统模型中。


图1丨BCI森林中不同树径等级和与雷击点距离下的平均雷击致死率,数字表示各距离区间内各树径等级的总死亡树木数。


图2丨LPJ-GUESS中雷击作用的示意图。一次雷击最多可致死距击中点45米范围内的树木(Richards等, 2022;Yanoviak等, 2020),因此模型不仅考虑发生在当前格点内的雷击,也包括邻近区域足以影响该格点树木的雷击事件。示例中,不同树径等级的树木密度分别为:微小树为0、小树为每平方米0.006棵、中树为0.012棵、大树为0.004棵。


图3丨基于两种资料集的云对地雷击密度:LIS/OTD-EMAC(即LIS/OTD观测的总雷击密度乘以EMAC模拟的云对地雷击比例)(a)和ENTLN地基观测数据(b)。


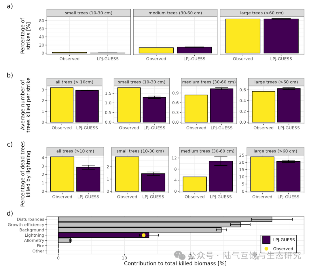
图4丨模拟与观测对比的BCI森林雷击影响。图中展示:不同树径等级被雷击命中的比例(a)、每次雷击造成的不同树径等级死亡树木的平均数量(b)、各树径等级中死于雷击的树木比例(c),以及2004–2023年期间不同死亡原因对总死亡生物量的模拟贡献(d)。误差棒表示五次模拟(每次包含1000个植被斑块)中结果的一倍标准差(1σ)。



图5丨全球雷击致死的模拟结果。图中展示:不同树径等级的年死亡总树木数(a)及其死于雷击的比例(b)、雷击对总死亡生物量的贡献(c),以及该贡献的空间分布图(d)。图c与图d为LIS/OTD-EMAC与ENTLN两套模拟结果的平均值。


引用

Krause A, Gregor K, Meyer BF, Rammig A. Simulating lightning-induced tree mortality in the dynamic global vegetation model LPJ-GUESS[J]. Global Change Biology, 2025, 31:e70312. https://doi.org/10.1111/gcb.70312

Image
自然界中的雷电不可能消失
人类对技术进步的向往和冲动也不可能终止
技术进步带来的潜在威胁
只能靠技术的继续进步来解决
Image